info@anjaneey.com
079 489-53050
GF-03, Akshay Appartment, Vishvakunj Cross Road, Paldi, Ahmedabad - 380007
Mon - Sat: 10:00 am - 6:30 pm
Home
About Us
Products
Request A Quote
Contact Us
Home
/
Impurities
/ Amitriptyline
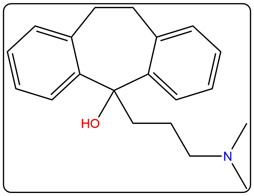
Amitriptyline
Related Products
Amitriptyline EP Impurity D
CAT NO:
AE00089
CAS No:
1159-03-1
Mol.F.:
C20H25NO
Mol.Wt.:
295.4
Inv. Status:
In Stock
Technical Certificate